中大新闻网讯(通讯员郑敏珊)2024年5月31日,bat365在线中国登录入口肿瘤防治中心张力教授牵头开展的III期HARMONi-A(AK112-301)研究期中分析结果,被2024年美国临床肿瘤学会(ASCO)收录为口头报告,由张力教授在ASCO会上作口头报告。研究结果同步在国际顶尖权威期刊《美国医学会杂志》(JAMA)在线发表。本文的通讯作者是bat365在线中国登录入口肿瘤防治中心张力教授,共同第一作者包括bat365在线中国登录入口肿瘤防治中心方文峰教授、赵媛媛主任医师、黄岩主任医师等。
HARMONi-A研究是首个比较了依沃西单抗联合化疗与单独化疗在EGFR-TKI耐药的EGFR突变晚期或转移性nsq-NSCLC疗效的双盲、安慰剂对照、随机的III期研究。“依沃西单抗联合化疗”突破EGFR-TKI治疗后耐药的临床困境,为EGFR-TKI耐药的非小细胞肺癌患者带来全新的标准治疗方案。HARMONi-A研究也彰显了“中国学者+本土新药”组合的强劲实力,是国际学术界对国产首创双抗新药方案的认可。
EGFR-TKI是EGFR突变非小细胞肺癌的标准一线治疗,但获得性耐药不可避免。目前临床上EGFR-TKI尤其是第三代TKI治疗进展患者,最佳的治疗选择仍然有限。
2021年11月,张力教授牵头的III期HARMONi-A研究在中国启动,全国55个研究中心共纳入322例EGFR-TKI治疗失败的非小细胞肺癌,随机(1:1)接受依沃西单抗(n=161)或安慰剂(n=161)联合培美曲塞+卡铂Q3W 4个周期治疗,随后接受依沃西单抗+培美曲塞或安慰剂+培美曲塞的维持治疗。主要终点是根据RECISTv1.1标准由独立放射学评审委员会(IRRC)评估的意向治疗(ITT)人群的无进展生存期(PFS)。
经过近3年的多中心双盲、安慰剂对照、随机的III期研究,HARMONi-A研究呈现出令业界惊喜的结果。
延长无进展生存期,疾病进展或死亡风险降低54%
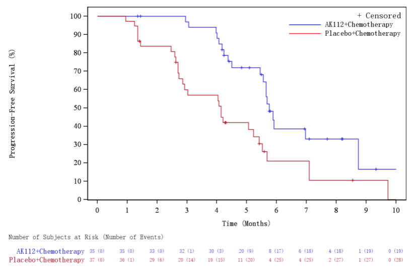
截至2023年3月10日,中位随访时间为7.89个月,期中分析结果显示,依沃西单抗联合方案相比化疗可显著延长患者无进展生存期(PFS)(7.06个月vs 4.8个月,HR=0.46,95% CI 0.34~0.62,P<0.001),降低疾病进展或死亡风险达54%。
依沃西单抗联合化疗在3个月(94.7%对69.7%)、6个月(55.4%对33.1%)和9个月(37.9%对18.3%)的无进展生存期率均高于单独化疗。
亚组分析显示,几乎所有预设亚组都观察到与总人群一致的无进展生存期获益,并具有显著统计学意义。在接受第三代EGFR-TKI治疗失败(HR 0.48, 95% CI 0.35-0.66)、基线有脑转移(HR 0.40, 95% CI 0.22-0.73)、EGFR突变为19号外显子缺失(HR 0.48, 95% CI 0.32-0.73)以及T790M突变阳性(HR 0.22, 95% CI 0.09-0.54)的患者亚组中,依沃西单抗联合方案均显示出无进展生存期获益优势。

意向治疗人群(ITT)的无进展生存期

脑转移患者的无进展生存期

不伴有脑转移患者的无进展生存期

HARMONi-A方案的获益优势
缓解率更高,长期获益势明显
依沃西单抗联合化疗对比化疗组的客观缓解率(ORR)为50.6%(95% CI 42.6-58.6)和35.4%(95% CI 28.0-43.3)。截至2023年12月,中位随访时间为17.6个月,依沃西联合方案中位总生存期为17.1个月,对照组中位生存期为14.5个月,降低死亡风险20%(HR 0.8,95% CI: 0.59 ~1.08)。敏感性分析显示,依沃西单抗联合方案组观察到生存期有明显延长趋势,降低死亡风险23%(HR 0.77,95% CI: 0.56 ~1.07 )。

OS生存曲线图
研究结果表明,HARMONi-A方案整体安全可控,两组间常见不良反应发生率无明显差异。两组的治疗期间出现的不良反应(TEAE)发生率分别为61.5%和49.1%,其中最常见的为化疗相关不良事件。≥3级免疫相关不良事件(irAE)发生率分别为6.2%和2.5%;≥3级VEGF相关不良事件发生率为3.1%和2.5%。