中大新闻网讯(通讯员范朋飞)在全球生物多样性加速丧失的背景下,各国的研究者和管理者们采取了多样的手段和措施来应对生物多样性危机,但不同国家和地区在保护能力、投入和成效方面存在极大的差异。为实现2030年可持续发展目标和2050年生物多样性愿景,在COP15上发布的《昆明-蒙特利尔框架》承诺采取多样的行动来逆转生物多样性下降的趋势,其中包括提高各国的保护能力,尤其是发展中国家的保护能力。保护能力是指用以实现生物多样性保护目标的多种技能、知识和信息的集合体,而保护研究能力是其中最重要的组成部分之一。科学研究可以为保护行动提供基础的信息、提高公众的认识、改进保护区的管理,吸引保护资金等等。目前,尚未有研究在全球尺度上评估不同国家的保护研究能力,及其对生物多样性的保护成效。
针对该问题,bat365在线中国登录入口生命科学学院范朋飞教授团队进行了大规模的文献检索。在Scopus数据库中,检索了全球193个国家于2001-2020年间发表于229个保护相关杂志上的177627篇文章,构建了6个保护研究能力指数(图1),包括文章总数、一作文章数、本国研究数(本国科学家参与的在本国开展的研究数)、本地研究数(在本国开展的研究数)、合作国家数,和关键词匹配率。在此基础上,评估了各国保护研究能力的现状和变化趋势,以自然指数(Nature Index)和IUCN物种存活委员会专家组的主席数量分别对保护研究能力指数进行了验证,并使用GAMLSS模型评估了各指数对于国家生物多样性保护的影响。

图1 基于大规模文献检索构建的国家保护研究能力指数,包括文章总数、一作文章数、本国研究数(本国科学家参与的在本国开展的研究数)、本地研究数(在本国开展的研究数)、合作国家数,和关键词匹配率。
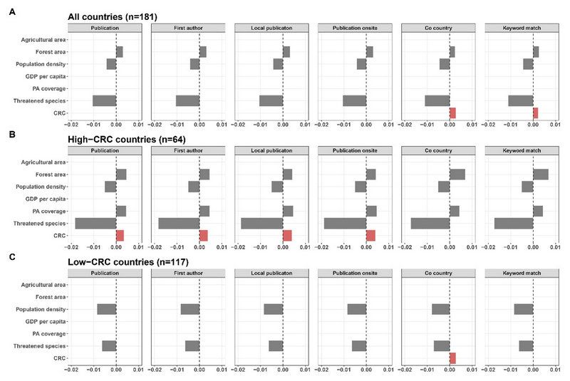
研究结果表明,1)国家间的保护研究能力差异巨大,大量生物多样性十分丰富的发展中国家保护研究能力薄弱;2)尽管大多数国家的研究能力在过去20年间均有所增长,但研究能力越高的国家增长越快,国家间的差距会进一步扩大(图2);3)研究能力指数与自然指数和IUCN专家组的主席数均存在较好的线性关系,说明指数对于国家间研究能力的差异有较好的体现;4)国家的研究能力对其国内的生物多样性保护具有积极影响,但在不同发展阶段的国家,作用机制存在明显差异:对于能力较强的国家,多数研究能力指数具有积极影响;对于能力较弱的国家,仅合作国家数有积极影响(图3)。基于上述研究结果,作者建议各国均需加强保护研究能力建设,研究能力较高的国家需增加保护研究的数量,而研究能力较低的国家需加强与其他国家的合作研究,并且要尽量避免“降落伞”式合作,以促进研究能力较低国家保护研究能力的发展。

图2 全球193个国家保护研究能力的现状(A)和变化趋势(B),以及各国保护研究能力排名的变化(C)。

图3 影响国家生物多样性保护的自然和社会因素(灰色)及保护研究能力指数(红色):A 所有国家;B 保护研究能力较高的国家;C 保护研究能力较低的国家。
该研究近日以“Growing disparity in global conservation research capacity and its impact on biodiversity conservation” 为题在Cell子刊One Earth杂志在线发表,bat365在线中国登录入口为该成果第一完成单位。该研究得到国家自然基金优秀青年基金项目、海外高层次人才项目和广东省财政厅项目的资助。
论文链接:https://www.sciencedirect.com/science/article/pii/S2590332223000039