中大新闻网讯(通讯员邓伟民)bat365在线中国登录入口物理学院、光电材料与技术国家重点实验室董建文教授研究团队用简单的全介质一维光子晶体实现了复杂的节线环简并和能脊态,并实验证实了能脊光子晶体带隙中的表面态。该工作以“Ideal Nodal Rings of One-Dimensional Photonic Crystals in the Visible Region”为题,于2022年5月12日发表在光学领域高水平期刊Light: Science & Applications上。
光学狄拉克锥是一种特殊的线性能带简并态,普遍存在于各种二维光子晶体中。通过引入空间反演对称性破缺,光学狄拉克锥会发生退简并从而过渡至能谷态。相对应的,光学节线环是一种存在于三维系统的能带简并态,它在能带中表现为一个闭合的圆环。通过引入对称性破缺,节线环可以过渡至能脊态。能脊态具有丰富的光学行为,如电磁波负折射、表面结构依赖的古斯–汉森位移等。然而,复杂的三维结构不利于上述行为在更高光频段实现,甚至进一步获得新型功能性光子器件。为此,如何用简单的光学结构来实现能脊态,成为该领域迫切需要解决的问题。
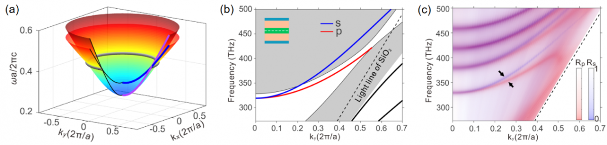
针对上述问题,研究团队创造性地将一维光子晶体非周期方向的动量考虑进来,巧妙地利用面内的旋转对称性,最终设计出理想的节线环能带。研究团队使用电感耦合等离子体增强化学气相沉积方法(ICP-CVD)制备了样品,测量出500-1100 nm波段的角分辨反射谱,证实了节线环的存在。进一步,研究团队打破光子晶体的空间反演对称性,使得节线环简并过渡到有带隙的能脊态,并通过计算拓扑不变量预言该带隙中存在受拓扑保护的界面态。结合前期开发的低损耗富硅氮化硅薄膜生长工艺,研究团队制备出样品,并测量600-1100 nm波段的角分辨反射谱,在实验上观测到界面态。此外,研究团队还发现节线环和光学Tamm态之间存在密切的联系。光学Tamm态是在一维光子晶体和金属的界面处可能存在的一种表面态。研究团队发现金属和节线环光子晶体的界面处必然会存在光学Tamm态,该结论为确定性指出并设计光学Tamm态提供了理论指导。研究团队使用电子束蒸发方法在一维节线环光子晶体表面镀上一层银膜,通过测量600-1000 nm波段的角分辨反射谱证实了光学Tamm态的存在。
该工作为在光学波段实现表面态的负折射、表面结构依赖的古斯–汉森位移等光学现象提供了基础。此外,通过引入其他类型的对称性破缺,节线环也可以过渡至外尔点简并。因此,该工作也为探索外尔点及其相关的拓扑表面态在微纳光学中的应用提供了可能。

(a)节线环简并能带图;(b)和(c):节线环解简并后带隙中表面态色散曲线的(b)模拟和(c)实验测量结果
该工作由bat365在线中国登录入口独立完成(唯一署名单位),邓伟民博士后为第一作者,陈文杰教授和董建文教授为共同通讯作者。上述工作得到了国家自然科学基金重点项目、广东省杰青等省市项目,以及光电材料与技术国家重点实验室和物理学院的大力支持。