中大新闻网讯(通讯员吕娟容)在全球范围内,生态系统功能受到反复干旱和生物多样性下降的威胁,但对多样性-生产力关系的干旱依赖性仍知之甚少。植物多样性和气候变化是初级生产力和养分循环的关键驱动力。近年来,植物多样性丧失与气候变化相关的干旱之间的相互作用日益受到关注,有研究发现,由于多样性丧失而导致的生态系统生产力下降可能会因干旱事件而加剧。更好地理解多样性-生产力关系和干旱压力之间联系的内在机制,对于气候缓解工作和实施有效的基于自然的气候解决方案至关重要。
bat365在线中国登录入口有害生物控制与资源利用国家重点实验室储诚进教授团队设计了模拟干旱和模式弃耕田群落(360个中型实验生态系/植物群落)的两阶段实验,以研究在随后的干旱下,降雨的慢性减少(压力干旱)是否以及如何改变土壤遗留效应和植物多样性-生产力关系。在第一阶段,在环境或干旱条件下,在均质土壤中种植了120个具有五个物种丰富度水平的模式植物群落,以生成“条件”土壤样本。在第二阶段,为新建立的植物群落提供了土壤接种物,无论是否有之前的干旱暴露,并经受干旱或环境浇水条件(图1)。具体而言,研究假设(i)干旱和植物物种丰富度共同影响土壤微生物群落,(ii)干旱土壤遗留效应影响生物多样性效应对植物生产力的影响,以及(iii)随后的干旱改变了干旱土壤遗留效应对多样性-生产力关系的影响。

图1. 实验设计的示意图
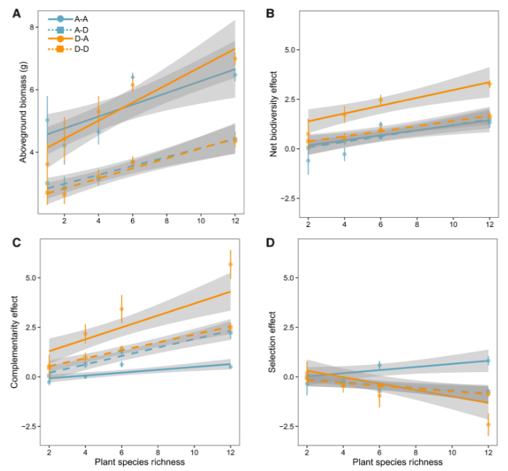
研究发现(图2-3):(i)干旱降低了细菌和真菌的丰富度,并改变了植物物种丰富度和微生物群之间的关系;(ii)干旱土壤遗留效应增加了生物多样性净效应,但生物多样性净效应对植物物种丰富度的响应不受影响;(iii)植物物种丰富度和互补性/选择效应之间的联系因过去和随后的干旱而不同。本研究结果为在不断变化的环境中生物多样性与生产力的关系提供了机制上的见解,并对气候变化下生态系统功能的稳定性产生了影响。

图2. 第一阶段土壤微生物群落

图3. 第二阶段的地上生物量和生物多样性效应
研究成果以“Drought soil legacy alters drivers of plant diversity-productivity relationships in oldfield systems”为题于2022年5月4日发表在期刊Science Advances。