科研新闻

首页 > 科研新闻 > 正文

物理学院王为团队在轻质量暗物质-电子散射研究中取得重要进展

稿件来源:物理学院 发布日期:2021-07-15 阅读量:

暗物质是物理学前沿的十大基本问题之一。天文学和宇宙学中一系列的观测都表明,非重子的暗物质是宇宙中的重要组成成分,越占30%,远高于普通物质的5%。然而,粒子物理的标准模型却无法为暗物质提供候选粒子,这预示着超出标准模型的新物理的存在。目前为止,已经有许多暗物质直接探测实验试图通过暗物质散射特定靶材料中的原子核来搜寻银晕中质量接近或大于质子质量(~ 1 GeV/c2)的暗物质,但并未明确发现暗物质迹象。因此,质量介于keV/c2到GeV/c2之间的轻质量暗物质越来越受到关注。轻质量暗物质测量的主要挑战在于暗物质粒子动能过低,在与靶材料原子核弹性散射时只将很少的动能转移至反冲核,而利用暗物质与靶材料核外电子之间的非弹性散射则成为一种可行的方案。

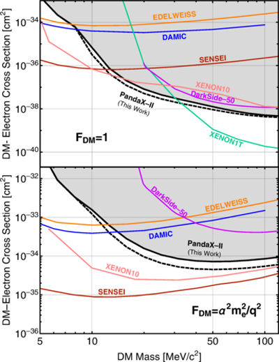
近日,PandaX氙探测实验合作组在《物理评论快报》(Physical Review Letters) 126卷第21期上以“Search for Light Dark Matter–Electron Scattering in the PandaX-II Experiment”为题发表了寻找轻质量暗物质-电子散射的最新结果[Chen Cheng et al. (PandaX-II Collaboration), Phys. Rev. Lett. 126, 211803 (2021)]。我校物理学院王为团队博士程晨为第一作者。通过PandaX-II暗物质探测实验运行积累的46.9吨天数据,此次研究一共收集到1821个候选事例,重点针对15到30 MeV/c2区间的轻质量暗物质,得到目前世界范围内最严格的散射截面排除曲线。

图1. 轻质量暗物质-电子散射截面排除曲线 (90% C.L.)

PandaX氙探测实验是建在中国锦屏地下实验室的一个国际性大科学合作项目。该实验由十多个学术单位和组织,50多位科学家参加,参与国际合作的单位来自美国,法国,西班牙,泰国等国家。为了进一步寻找和研究暗物质,下一代吨级液氙探测器,PandaX-4T正在已经在四川锦屏地下国家实验室(CJPL)紧张地试运行中,期待PandaX-4T的设计指标具有更低探测阈值、更低放射性本底以及、更大的曝光量下,预计对轻质量暗物质以及其他的暗物质候选者的探测灵敏度在不久的将来将得到显著的提高。

该研究得到了科技部暗物质重点专项,国家自然科学基金委面上项目,上海市科委重点研发专项,四川省科技厅省校联合项目等项目的支持。

论文链接:http://doi.org/10.1103/PhysRevLett.126.211803

新闻投稿