全球的植物-传粉者群落都在遭受着物种灭绝的威胁,而且因为植物和传粉者之间互相依存的关系,初始灭绝会造成更大范围的共同灭绝。但是共同灭绝及其对生态系统的影响在地理梯度上如何变化,受到何种因素影响,仍然有待研究。针对该问题,我校生命科学学院储诚进教授团队提出“环境因素是通过植物-传粉者网络的模块性结构来影响该网络遭受共同灭绝时的稳健性”的假说。其中,模块性是一种在传粉网络普遍存在的拓扑结构,它指的是网络中的物种会在多大程度上形成一个个内在互作紧密的模块(图1)。对于上述假说,研究团队系统性定量化地进行了验证,并揭示了传粉网络稳健性的地理分布规律及驱动因子。

图1 传粉网络模块性示意图。红蓝圆点分别代表传粉动物和开花植物,灰色线条代表存在传粉互作,灰色圆圈代表不同的模块。
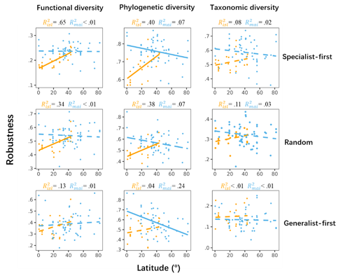
研究基于数据库web of life, interaction web database以及文献查找获得了全球79个传粉网络(图2),并搜集了网络中传粉者的功能群和谱系关系信息。通过模拟共同灭绝的方法,衡量了网络中传粉者的物种、功能群和谱系多样性的稳健性,进而分析了稳健性与网络模块性、纬度、岛屿性和气候的关系。研究结果显示,在专性植物先灭绝的情境下,传粉者谱系多样性的稳健性在大陆上随纬度升高而减弱,但在岛屿上随纬度升高而增强(图3)。形成该稳健性的地理格局的机制是,实际蒸散量和降水季节性通过网络模块性间接地影响了稳健性,而且降水季节性在大陆上促进模块性,但在岛屿上却会降低模块性,由此解释了稳健性在大陆和岛屿环境下相反的纬度梯度(图4)。

图2 研究所用传粉网络分布图。圆点的大小与颜色,分别代表模块性和传粉者谱系多样性在专性植物先灭绝情境下的稳健性。

图3 不同多样性类型和初始灭绝情形下,稳健性与纬度在大陆(蓝色)和岛屿(橙色)的关系。其中实线代表显著关系(P<0 .05)。

图4 结构方程模型展示了从气候因子、岛屿性(Insularity)和网络大小(Size)如何直接或间接地影响传粉者谱系多样性的稳健性。气候因子包括实际蒸散量(AET)、降水季节性(PS)及降水季节性与岛屿性的相互作用项。
该研究结果表明,环境因素通过网络模块性对稳健性产生的间接影响是普遍存在的,验证了提出的假说。由于这种间接影响,在专性植物易灭绝的情况下,传粉者谱系多样性在热带岛屿和寒带大陆相较于其他区域更为脆弱。这对我们了解生态系统脆弱性和实践全球的生物多样性保护,具有重要的指导意义。
研究结果以“Geographic variation in the robustness of pollination networks is mediated by modularity”为题发表于Global Ecology and Biogeography;生命科学学院2017级博士研究生刘翰伦为第一作者,储诚进教授为通讯作者。此外,来自华东师范大学和瑞士苏黎世大学的多位研究人员参与了该项工作。该研究得到国家自然科学基金委“杰青”项目(31925027)、国家留学基金委(201906380083)和bat365在线中国登录入口张宏达科学研究基金的支持。