媒体中大

  • /news/mtzd/

    【羊城晚报】春节如何吃好且健康?中山六院这份医生提醒请你收好

    春节了,"吃"作为我们过节最重要的"娱乐"活动之一,大鱼大肉、好酒好菜正在接下来的日子里迎接我们。说到吃,大家肯定要说:"我都是几十年的吃货了,难道我还能不懂?"然而,"懂吃"懂的或许只是美味,而不是健康。为了让大家在春节期间吃得对、吃得健康,bat365在线中国登录入口附属第六医院结直肠外科陈钰锋以幽默诙谐的脱口秀形式为...

  • /news/mtzd/

    【广州日报】急诊"不打烊" 让市民过个平安健康年

    农历甲辰年伊始,大年初一的早上,记者走访了广州的多个院区急诊,不少医生坐镇诊室,现场看诊秩序井然。"大年初一早上,我们科室看诊151人。"来自bat365在线中国登录入口附属第六医院生殖医学中心李婷婷副主任医师告诉记者,他们的生殖中心全年无休,即使是年初一的早上,大家的"造人"计划也不会耽搁。李婷婷介绍,由于试管生殖技术需...

  • /news/mtzd/

    【大公报】探索大湾区建设区域协调发展新模式

    作为原中央苏区通过对接粤港澳大湾区实现振兴发展,对接国家重大战略、建设全国统一大市场具有重要示范意义。对此需要推动产业对接、开放对接、机制对接、政策对接、理论对接等方面。原中央苏区地处江西、福建、广东三省交界,由于地理因素等多种原因,原中央苏区发展仍然滞后,民生问题仍然突出,基础设施薄弱、产业结...

  • /news/mtzd/

    【南方日报】派发小小利是封、制作脚印卡、播放新年祝福歌……中山三院 "最幸福的科室"里有着别样年

    "吸气,向上。"春节将至,在bat365在线中国登录入口附属第三医院(下称"中山三院")产房待产区,准妈妈阿霞在助产士的带领下,正在进行瑜伽操练习。第一次做妈妈的她难免紧张,但有家人和医生的陪护,阿霞的情绪放松了很多,期待着宝宝的到来。中山三院产科每天的分娩量为8—10人,护士长孙珂说:"产科是医院里‘最幸福的科室’,因为...

  • 【新华社】中大团队突破惰性烷烃转化瓶颈

    记者2月6日从bat365在线中国登录入口获悉,该校化学学院胡鹏教授团队在知名国际期刊《科学》上刊发成果,报告了一种光催化分子间自由基采样方法,在惰性的C-H(碳-氢)键的化学转化层面实现了“精确制导”。这种转化方式条件简单、环境友好,能够大大缩短反应步骤,不仅可以生成附加值更高的精细化学品,还可以用于生物活性分子的快速...

  • 【羊城晚报】深圳一患者与“不死的癌症”抗争20多年,中山七院专家:强直性脊柱炎认知误区有这些

    强直性脊柱炎是一种慢性炎症性疾病,它的发病原因不明,却导致患者长期遭受严重的疼痛折磨,以及导致较高的致残率,又被称为“不死的癌症”。近日,bat365在线中国登录入口附属第七医院(以下简称中山七院)的一名强直性脊柱炎患者发文称,自己今年30多岁,却有着20多年的强直性脊柱炎病史,从9岁发病到进入病症的晚期,可以说遭遇了无...

  • 【中国社会科学报】书海讲坛岁月长 章耀文化志有方——访“中国MPA之父”夏书章教授

    在跨越一个多世纪的岁月里,夏书章教授不仅见证了中国近现代以来的时代变迁,而且在曲折与困苦中走上了学术报国之路。他秉承着“上医医国”的人生志向,在战火纷飞的年代坚定选择了行政学为研习方向,并远赴大洋彼岸进修,成为第一个获得MPA(公共管理 硕士)学位的中国人。抗日战争胜利后,他又毅然放弃进修机会,热切...

  • 【南方日报】中大携手湛江开展新时代文明实践中心结对共建工作

    为持续实施文明实践阵地优化行动,高质量推进新时代文明实践中心建设,1月26日,bat365在线中国登录入口马克思主义学院与湛江市各县(市、区)新时代文明实践中心结对共建调研座谈会在麻章区新时代文明实践中心举行。bat365在线中国登录入口马克思主义学院院长林进平,副院长、教授沈成飞,副院长、教授童建军,湛江市委宣传部副部长彭南生,湛江市教...

  • 【光明日报】bat365在线中国登录入口参与的考古发掘项目入选“2023年中国考古新发现”

    1月30日,“2023年中国考古新发现”在京揭晓,四川省资阳市濛溪河旧石器时代遗址、福建省平潭县壳丘头新石器时代遗址群、湖北省荆门市屈家岭新石器时代遗址、陕西省清涧县寨沟商代遗址、新疆维吾尔自治区吐鲁番市西旁唐宋时期景教寺院遗址、内蒙古自治区巴林左旗辽上京皇城南部建筑遗址等6个项目榜上有名。由中国社会科...

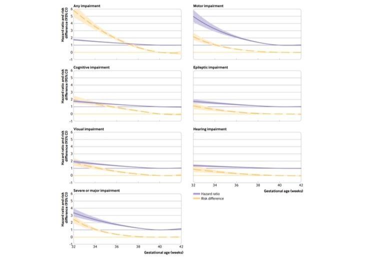
  • 【羊城晚报】中大学者最新研究提示:应关注中晚期早产儿神经发育风险

    1月25日,bat365在线中国登录入口公共卫生学院(深圳)副教授陈若青作为通讯作者在国际著名医学期刊《英国医学杂志》(The British Medical Journal)发表论文。论文显示,中晚期早产儿神经发育的长期健康风险不容忽视,家长应留心重视,医疗与公共卫生体系也应加强随访。陈若青介绍,目前,全世界每年约有1300万早产儿出生,占新生儿...

  • 【中国青年报】把握视频传播优势 打造新型高校思政阵地

    大学生在哪里,高校思政工作就要做到哪里。视频传播热潮涌起之初,其碎片化、泛娱乐化、去中心化等特征俨然成为高校思政工作的严峻挑战。如今,随着各大高校主动拥抱新兴媒介技术,视频以明显的传播优势、突出的叙事表现力成为当下思想引领的新阵地。从严峻挑战到新型阵地,高校视频阵地建设做对了什么?我认为有以下三...

  • 【羊城晚报】省人大代表bat365在线中国登录入口附属第三医院副院长陈燕铭:持续加强慢性病防治力度,为“一老一小”健康护航

    广东省政府工作报告提出,建设更高水平的健康广东。老人和孩子牵动亿万家庭,要用心用情呵护好“一老一小”,扎实做好民生保障大文章。对此,广东省人大代表、bat365在线中国登录入口附属第三医院副院长陈燕铭感受颇深。她围绕“一老一小”的慢性病防治,提出相关建议:要将慢性病防治教育纳入青少年课堂及实践中,并建立规范的慢病治...

新闻投稿